Table of Contents
Types of Bound
- Upper Bound -
- Tight Upper Bound
- Loose Upper Bound
- Lower Bound -
- Tight Lower Bound
- Loose Lower Bound

Types of Notations
- Big Notation - Bounds that may or may not be tight.
- Big Oh
- Big Omega
- Small Notation - Bound that are always loose, never tight
- Small Oh
- Small Omega
Big Notations
The big notations always provide lower/upper bound that may or may not be tight.
1. Big Oh
if there exists some constant and such that - In simpler words this means – For large values of , the growth of function is bounded above by a constant multiple of ).
Q1) Show that -
Sol - We know that -
Thus where and . Thus .
2. Big Omega
if there exists some constant and such that - In simpler words this means – For large values of , the growth of function is bounded below by a constant multiple of ).
3. Big Theta
if there exists some constant and such that - In simpler words – When for large values of the growth of is bounded above and below by constant multiples of the same function , we say is the Tight-Bound of .
and .
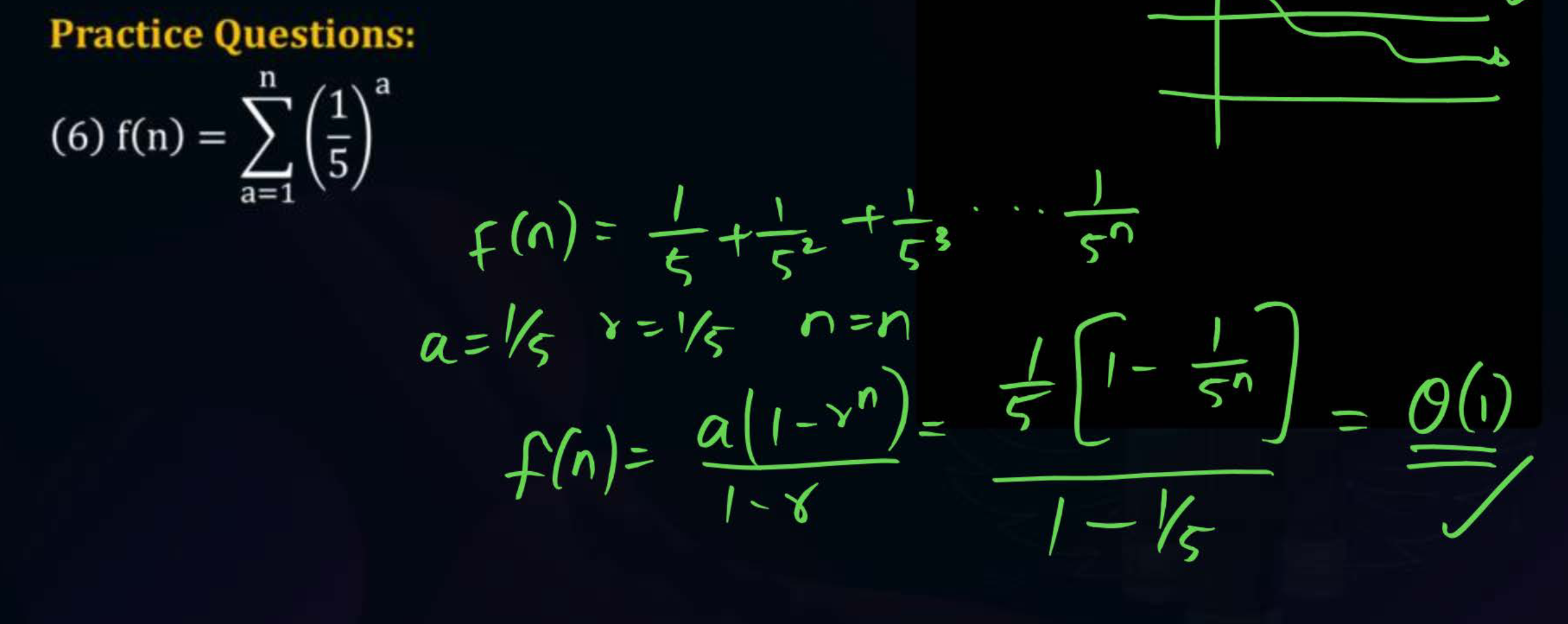
Q2) Find the tight bound of the below function -
Sol - Using the Sum of GP As ,

Another reasoning can be that being a constant dominated the decreasing function .
Q3) Find the tight bound of the below function -

Sol -
- Here, . For each in the product, we can say . Thus .
- At the same time for any value of . Thus and thus .
Q4) Find the tight bound of the below function -
Sol -
Small Notations
The big notations always provide lower/upper bound that are loose, never tight.
1. Small Oh
if there exists all constant and some such that - In simple words – grows strictly slower than , and no constant multiple of is a tight bound for .
Key Difference from -
- The inequality constraint must satisfied for all positive constants, not some.
- The inequality constraint is a strict inequality.
2. Small Omega
if for all constant and some such that - In simple words – grows strictly faster than , and no constant multiple of is a tight bound for .
Properties of Asymptotic Notations
General Properties of Big Oh Notation
- If
- If and
- If and
- If and
- for any fixed and
- for any fixed
- for any fixed constants and
Adding Functions
Multiplying Functions
Trichotomy Property
The Trichotomy Property for real numbers says that for any two real numbers and only one of the three cases is true -
The Asymptotic Notations do not define a total order on functions and therefore do not satisfy the Trichotomy Property. For any two functions and , it is not guaranteed that one of the following holds -
There exist functions that are incomparable under asymptotic growth. One such pair of functions is -
Discrete Properties of Asymptotic Notations
| Notation | Reflexive | Symmetric | Transitive | Transpose Symmetry |
|---|---|---|---|---|
| T | F | T | T | |
| T | F | T | T | |
| T | T | T | F | |
| F | F | T | T | |
| F | F | T | T |
- Reflexivity - All notations that allow equality are reflexive.
- Symmetric - Only possible for tight bound.
- Transitivity - Possible for all.
- Transpose Symmetry - If then . Only doesn’t have any such relation.