Table of Contents
Gradient Descent
<Intentionally left blank for now>
Convexity
Convex Sets
A set is a convex set if , where . Geometrically speaking, the below sets are a convex set -

Properties -
- If and are two convex sets then is also a convex set.
This property is helpful in showing if a set is convex, by showing that the set is formed by intersection of two other convex sets.
Convex Combinations
Let . Then we say that is a convex combination of vectors in if such that and and
The convex hull of a set , denoted by or is the set of all convex combinations of the elements of the set .
An alternate definition of a convex hull can be that, the convex hull of a set is the intersection of all convex sets that contain . The two definitions can be shown to be equivalent.
Important Exercise – Show that Euclidean Balls are Convex Sets
Convex Functions
– A function is a convex function iff is a convex set.
stands for epigraph of a function. An epigraph is the set of all points above the graph’s curve -
The opposite of an epigraph is a hypograph.
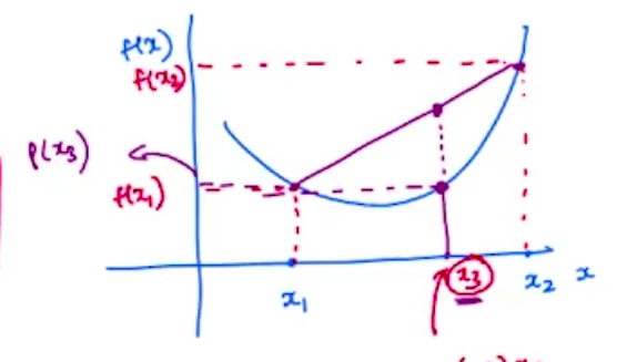
– A function is a convex function iff and all
For concave functions this inequality becomes,

– A function is a convex function iff is differentiable and,

This means that the tangent plane lower bounds the function for every point in its domain.
– A function is a convex function iff it is twice differentiable.
Properties -
1) In a convex function f, x* is a global minima iff its gradient is 0.
We need to first show that if is a global minima, . This can be shown easily by using the concept of steepest descent. At any point, the direction of steepest descent is . So if for any point , we can show that there exists another point in the direction of steepest descent such that . Thus if then can’t be a minima, let alone a global minima.
Thus points where no such direction of steepest descent would exist will have . Thus the gradient at the global minima must be .
Now we need to show the reverse, that in convex functions if then is a global minima. We know by Definition 3 that the tangent plane at any point of the graph lower bounds the function. So even at the global minima we can say,
Hence we can say that is a global minima.
2) If f and g are two convex functions, then h(x) = f(x) + g(x) is also a convex function.
This can be proved easily using Jensen’s Inequality of convex functions. Try it out!
3) If f is a convex and non-decreasing function and g is any convex function, then h(x) = fog(x) is also a convex function.
This can again be proved easily using Jensen’s Inequality of convex functions. Try it out!
4) If f is a convex function and g is a linear function, then h(x) = fog(x) is also a convex function.
This can again be proved easily using [[#^bec74f|Jensen's Inequality]] of convex functions along with the property of linear functions. Try it out!Note - In general if and are convex, the composition may not be convex.
Questions
Q1) Show that log is a concave function -
$\underline{\text{Sol}^n} -$ We can use the reverse of [[#^bec74f|Jensen's Inequality]] for this purpose. If we are able to show that,For this we can try removing the from both sides and put everything to the left side and show that the unified equation is greater than or equal to . So we can rewrite the above requirement as,
We can differentiate this term to get its minima, and if the minima is then we can say that the entire equation is always non-negative.
For the some to be the minima of , . So,
If then then only can satisfy the above equation. Because , we can say that . Hence we have proven that is true and consequently proven that is a concave function.